1. Hiểu về điểm trung bình tích lũy là gì?
Chắc hẳn đối với những bạn đã và đang là sinh viên thì đều đã từng trải qua quá trình học tập và cuối kỳ, cuối năm sẽ phải tính điểm trung bình tích lũy và đánh giá về kết quả học tập. Do đó, vấn đề về điểm trung bình tích lũy có lẽ đã trở nên vô cùng quen thuộc. Hiểu một cách đơn giản thì đây là điểm số được các giảng viên, phòng đào tạo tính ra dựa trên kết quả học tập của từng môn học theo một công thức nhất định theo thang điểm 4. Và nếu như điểm trung bình tích lũy của bạn càng cao thì sẽ càng mang lại lợi thế cho bảng điểm tốt nghiệp sau này cũng như cho quá trình tìm việc làm khi ra trường. Ngược lại nếu như điểm trung bình tích lũy tháp thì sẽ ảnh hưởng khá lớn đến kết quả tốt nghiệp, do đó các bạn sẽ cần phải có cách cải thiện điểm số và tạo ra cơ hội có một tấm bằng tốt nghiệp đẹp nhất.
Sinh viên khi đi học thường nói quan trọng là kiến thức chứ không phải điểm số. Nhưng thực chất thì điểm số là kết quả cuối cùng để đánh giá về những gì bạn đã học và tiếp thu được trong quá trình học tập. Do đó, đây là vấn đề mà bất cứ bạn sinh viên nào cũng cần quan tâm. Sau mỗi kỳ học thì sinh viên sẽ cần thi hết môn rồi cộng điểm và tính trung bình tích lũy để xét xếp loại cũng như là tiêu chí để xét học bổng cho sinh viên ở các trường. Cụ thể cách xếp loại điểm trung bình tích lũy hiện nay ở các trường thường như sau:
- Điểm trung bình tích lũy dưới 2.0 thì sẽ xếp loại yếu.
- Điểm trung bình tích lũy từ 2.0 – dưới 2.5 thì sẽ xếp loại trung bình.
- Điểm trung bình tích lũy từ 2.5 – dưới 3.2 thì sẽ xếp loại khá.
- Điểm trung bình tích lũy từ 3.2 – dưới 3.5 thì sẽ xếp loại giỏi.
- Điểm trung bình tích lũy từ 3.5 – 4.0 thì sẽ xếp loại xuất sắc.
Điểm trung bình tích lũy đóng vai trò rất quan trọng đối với các bạn sinh viên để có thể ra trường với một tấm bằng tốt nhất. Do đó, trong quá trình học tập các bạn cần phải cố gắng để đạt được điểm số cao nhất và nếu có trường hợp điểm thấp thì cần phải có biện pháp cải thiện để mở rộng cơ hội việc làm của bản thân trong tương lai.
2. Cách tính điểm trung bình tích lũy chuẩn nhất
2.1. Công thức tính điểm trung bình tích lũy
Hiện nay, hầu hết các trường đại học, cao đẳng đều có chung một công thức để tính điểm trung bình tích lũy cho sinh viên. Nếu như trước đây các trường tính thang điểm trung bình tích lũy là 10 thì giờ đây đều đã được đổi sang thang điểm 4. Vậy cách để tính hay quy đổi điểm trung bình tích lũy từ 10 sang 4 như thế nào?
- Đối với những trường hợp đạt điểm trung bình môn từ 8.5 điểm trở lên thì sẽ được quy đổi thành 4 điểm trong thang điểm 4.
- Đối với những trường hợp đạt điểm trung bình môn từ 7.0 – dưới 8.5 thì sẽ được quy đổi ra 3 điểm trong thang điểm 4.
- Đối với những trường hợp đạt điểm trung bình môn từ 5.5. – dưới 7.0 thì sẽ được quy đổi ra 2 điểm trong thang điểm 4.
- Đối với những trường hợp đạt điểm trung bình môn từ 4.0 – dưới 5.5 thì sẽ được quy đổi ra 1 điểm trong thang điểm 4.
- Đối với những trường hợp đạt điểm trung bình môn ở mức dưới 4.0 thì sẽ được quy đổi ra 0 điểm trong thang điểm 4.
Đây được xem là cách quy đổi chung nhất mà nhiều trường hiện nay đang áp dụng. Tuy nhiên thì một số trường cũng có cách quy đổi điểm lẻ như là 0 – 1.5 – 2 – 2.5 – 3 – 3.5 – 4 điểm.
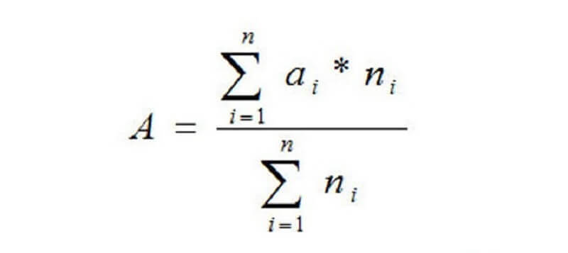
Và công thức được sử dụng để tính điểm trung bình tích lũy sẽ như ảnh dưới đây:
Trong đó, ý nghĩa từng thông số như sau:
- “A” – là điểm trung bình tích lũy theo kỳ, 1 năm hay 4 năm của sinh viên.
- “ai” – điểm số của các học phần trong học kỳ của sinh viên.
- “ni” – số tín chỉ mà sinh viên đó học trong học phần đó.
- “n” – tổng số học phần của sinh viên trong 1 kỳ, 1 năm hay 4 năm.
Sau khi đã áp dụng công thức trên thì chỉ cần quy đổi kết quả để xếp loại học tập cho sinh viên theo thứ hạng đã được quy định của trường.
2.2. Một số lưu ý khi tính điểm trung bình tích lũy
Để có thể tính điểm trung bình tích lũy một cách chuẩn xác nhất thì bạn cần phải lưu ý một số vấn đề quan trọng sau đây:
- Một số môn học đặc thù sẽ không được đưa vào để tính điểm trung bình tích lũy mà chỉ tính điểm môn đó để xếp loại xem có đạt hay không đó là môn giáo dục quốc phòng và giáo dục thể chất. Thường với các trường thì 2 môn này không tính vào điểm trung bình tích lũy mà chỉ là một điều kiện để sinh viên có thể tốt nghiệp.
- Một số trường không tính điểm trung bình tích lũy theo thang 4 mà vẫn giữ nguyên thang 10 thì bạn sẽ không cần phải quy đổi điểm sau khi tính.
- Trong trường hợp sinh viên học cải thiện thì thường sẽ phải học sau khi kết thúc học kỳ. Do đó, điểm số cải thiện sẽ được tính vào kỳ mà bạn học chứ không được tính lại vào kỳ trước.
- Đối với các môn có nhiều bài thi và nhiều đầu điểm thì sẽ ưu tiên điểm cao nhất hoặc cũng có thể cộng trung bình tất cả các đầu điểm vào để tính điểm trung bình tích lũy cho chính xác nhất.
- Những môn học nằm ngoài chương trình đào tạo thì sẽ không được phép cộng vào để tính điểm trung bình tích lũy.
Như vậy, trong quá trình tính điểm trung bình tích lũy sẽ cần phải dựa vào rất nhiều yếu tố cũng như cần phải lưu ý một số vấn đề quan trọng trên để có thể tính ra điểm số chính xác nhất cho sinh viên. Bên cạnh đó, các bạn sinh viên cũng cần phải nắm được công thức tính điểm trung bình tích lũy để có thể đối chiếu kết quả, tránh xảy ra những sai sót, nhầm lẫn và ảnh hưởng đến tấm bằng tốt nghiệp của mình nhé!
Tham khảo: Khóa luận tốt nghiệp là gì?
3. Làm sao để đạt được điểm trung bình tích lũy cao?
Như đã phân tích ở trên thì điểm trung bình tích lũy có vai trò rất quan trọng đối với các bạn sinh viên trong việc ra trường đúng hạn hay có một tấm bằng đẹp nhất. Điểm trung bình tích lũy cao sẽ mang đến tấm bằng tốt và cơ hội việc làm tốt. Ngược lại, tấm bằng kém sẽ ảnh hưởng đến quá trình xin việc làm của bạn sau này. Chính vì vậy mà việc làm sao để có được điểm trung bình tích lũy cao nhất cũng là mối quan tâm của các bạn sinh viên hiện nay.
Thực tế thì đối với những bạn chăm chỉ và luôn đạt điểm số tốt trong các kỳ thi của các môn học thì việc đạt được điểm trung bình tích lũy cao là chuyện hết sức bình thường. Tuy nhiên, đối với trường hợp các bạn không may bị điểm thấp thì cách tốt nhất để có thể đạt được điểm trung bình tích lũy cao chính là học cải thiện để nâng điểm số lên. Vậy thì hãy cùng tham khảo một số phương pháp dưới đây giúp nâng điểm số của bạn lên và đạt được điểm trung bình tích lũy cao nhé!
- Điều đầu tiên để có thể đạt được điểm trung bình tích lũy cao đó là bạn phải đạt được điểm chuyên cần cao. Và điểm chuyên cần sẽ bao gồm những tiêu chí đó là: đi học đầy đủ tất cả các tiết học, chăm chỉ học hành, thường xuyên phát biểu, xây dựng bài trên lớp. Điểm chuyên cần chiếm khoảng 10% trong tổng điểm trung bình tích lũy, do đó, các bạn cũng cần lưu ý điều này.
- Tiếp đó, trong lớp học, các bạn cần phải thật chăm chú nghe giảng để hiểu về các bài học, nắm vững kiến thức, không hiểu ở đâu thì hãy hỏi ngay giảng viên để được giải đáp. Điều đó sẽ giúp bạn được đánh giá cao về tinh thần học tập cũng như giúp bạn có thể hiểu và nhớ về kiến thức tốt hơn chứ không phải đến kỳ thi là mang sách ra học vẹt.
- Một phương pháp giúp các bạn học tốt và dễ dàng đạt điểm cao hơn chính là học nhóm để có thể cùng chia sẻ những cách học tốt nhất cũng như các kiến thức sâu rộng cho nhau. Bạn cũng cần dành thời gian để tìm thêm các tài liệu chứ không thể chỉ học dựa trên sách hay bài giảng trên lớp, kiến thức đó là chưa đủ để bạn có thể vận dụng vào thực tế hay các bài thì mở rộng.
Đọc thêm: Điểm mặt các phương pháp tự học hiệu quả nhất
- Đối với việc học tập, bạn sẽ phải đặt ra mục tiêu và lập một kế hoạch cụ thể, thực hiện theo đúng kế hoạch đó thì mới có thể đạt được điểm số cao nhất cũng như điểm trung bình tích lũy tốt nhất. Bởi nếu đã lên kế hoạch và có bất kỳ vấn đề nào đi lệch so với kế hoạch, bạn sẽ chủ động điều chỉnh lại phù hợp, điều đó sẽ giúp bạn có được một kết quả học tập tốt hơn.
- Một điều hết sức quan trọng đó là các bạn cần phải nắm thật rõ về kết quả học tập của mình, môn nào tốt, môn nào chưa tốt để có phương pháp học cải thiện môn đó, nhất là đối với những môn có số tín chỉ cao thì cần phải học cải thiện thì mới có thể nâng điểm trung bình tích lũy lên được.
Trên đây là những chia sẻ khá chi tiết, cụ thể về cách tính điểm trung bình tích lũy chuẩn nhất cũng như phương pháp giúp bạn đạt được điểm trung bình tích lũy cao nhất, mở rộng cơ hội cho bản thân trong tương lai.







Tham gia bình luận ngay!