1. Nguyên hàm và công thức nguyên hàm là gì?
Công thức nguyên hàm hay gọi chung là bảng nguyên hàm, là những khái niệm đặc biệt quan trọng trong Toán học. Chúng là chuyên đề thường xuyên xuất hiện trong đề thi lớp 12 cũng như các đề thi Đại học. Học nguyên hàm rất khó và dường như đó là nỗi ám ảnh của nhiều bạn.
Trong bộ môn Giải tích lớp 12, nguyên hàm là một khái niệm không còn lạ lẫm. Đây cũng là một dàng bài tập, dạng đề thường gặp và phổ biến nhất trong các kỳ thi Toán quan trọng. Người học trước tiên cần nắm vững căn bản về kiến thức đạo hàm, hàm số thì mới hiểu được khái niệm công thức nguyên hàm hay bảng nguyên hàm.
Nguyên hàm được định nghĩa trong sách giáo khoa như sau: “Cho hàm số f xác định trên K. Hàm số F được gọi là nguyên hàm của hàm số f trên K nếu F(x) khả vi trên K và F’(x) = f(x) với mọi x thuộc K.”
Từ khái niệm này, các định lý thuộc bảng nguyên hàm được xây dựng, cụ thể như sau:
“Nếu F(x) là một nguyên hàm của hàm số f(x) trên K thì với mỗi hằng số C, hàm số G(x) = F(x) + C cũng là một nguyên hàm của hàm f(x) trên K. Và ngược lại, nếu F(x) là một nguyên hàm của hàm số f(x) trên K thì khi đó mọi nguyên hàm của f(x) trên K đều sẽ có dạng F(x) + C với C là một hằng số bất kỳ.”
Họ nguyên hàm của hàm số f(x) được ký hiệu là ∫f(x)dx. Khi đó F(x) + C , C ∈ R sẽ bằng ∫f(x)dx.
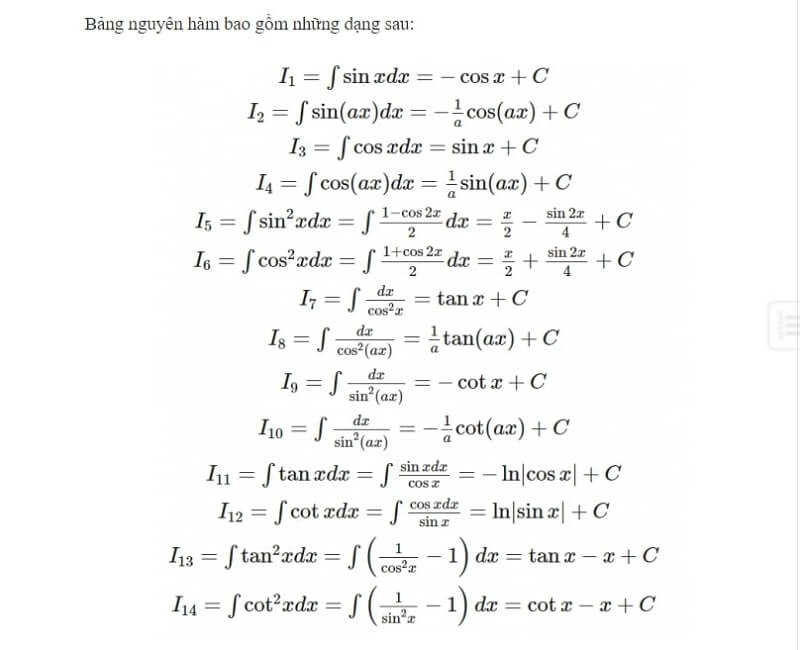
Những dạng công thức trong bảng nguyên hàm bao gồm: Công thức nguyên hàm của lượng giác, nguyên hàm mở rộng, nguyên hàm từng phần và nguyên hàm tích phân.
2. Bảng công thức các nguyên hàm cơ bản
Sau khi nắm được định nghĩa khái quát, muốn giải được nguyên hàm thì bạn bắt buộc phải thuộc lòng các nguyên hàm cơ bản với các công thức thuộc bảng nguyên hàm. Các nguyên hàm cơ bản thường là những công thức phổ biến, chúng được áp dụng thường xuyên trong đa phần các dạng bài tập về chuyên đề này. Bên cạnh đó, bạn phải ghi nhớ chính xác các công thức để vận dụng cho từng bài tập, bởi trong quá trình kiểm tra hay thi cử, sẽ không được phép xem tài liệu này.
Xem thêm: Các công thức tính đạo hàm
3. Những lỗi sai thường gặp khi giải toán nguyên hàm
Như vậy, chúng ta vừa tìm hiểu xong các nguyên hàm cơ bản với các công thức được gói gọn trong bảng nguyên hàm. Thế nhưng, là một chuyên đề khó trong Toán học, giải nguyên hàm không hề đơn giản. Giải nguyên hàm không đồng nghĩa với việc chỉ cần áp dụng công thức vào là ra kết quả. Trên thực tế, dạng bài này xuất hiện rất nhiều đề bài đa dạng, các công thức cũng phong phú không kém. Chính vì thế, bạn cần đầu tư tìm hiểu các dạng đề, giải đề liên tục với nhiều kiểu đề đa dạng. Cách này vừa để ghi nhớ các công thức lâu dài, vừa để củng cố kiến thức.
Phần lớn khi giải nguyên hàm, các bạn thường mắc phải những lỗi sai như sau:
- Thứ nhất, hiểu sai về bản chất công thức nguyên hàm.
- Thứ hai, lơ là và cẩu thả trong cách tính, dẫn đến kết quả sai.
- Thứ ba, không nắm vững các định nghĩa về tích phân, nguyên hàm.
- Thứ tư, quên đổi cận mặc dù đã đổi biến số.
- Thứ năm, không tính vi phân khi đổi biến.
- Thứ sáu, không biết tính nguyên hàm từng phần.
Sau đây là phần liệt kê các sai lầm thường gặp trong khi giải các đề toán liên quan đến các nguyên hàm cơ bản. Cùng theo dõi để hạn chế thấp nhất việc mắc phải nhé.
3.1. Không nhớ hoặc nhớ nhầm công thức nguyên hàm
Đạo hàm chính là cơ sở nền tảng của nguyên hàm. Nghĩa là để giải được các bài toán nguyên hàm, bạn trước tiên cần tìm hiểu và nắm vững về đạo hàm. Cũng chính vì điều này, khi chưa hiểu rõ bản chất của đạo hàm và nguyên hàm thì rất dễ xảy ra sai sót, chẳng hạn như nhớ sai, vận dụng nhầm công thức.
Để khắc phục lỗi sai này, hãy cố gắng nắm chắc và học vững các nguyên hàm cơ bản. Thường xuyên đọc và tự kiểm tra mình đã ghi nhớ công thức hay chưa, kiểm tra xem đạo hàm của nguyên hàm tìm được có bằng với kết quả của đề cho hay không?
3.2. Không vận dụng đúng khái niệm tích phân
Không vận dụng đúng khái niệm về tích phân cũng là một lỗi sai thường gặp trong giải toán nguyên hàm. Để khắc phục vấn đề này, chỉ còn cách nắm vững và đọc kỹ định nghĩa về tích phân. Khi tính ∫f(x)dx, hãy tạo thói quen kiểm tra xem hàm số y = f(x) trên đoạn có liên tục hay không. Đặc biệt lưu ý, nếu y = f(x) không liên tục trên đoạn, thì kết quả là không tồn tại tích phân đó.
3.3. Nhớ nhầm tính chất tích phân nguyên hàm
Tại sao người học thường nhớ nhầm tính chất tích phân nguyên hàm? Bởi trên thực tế, có khá nhiều bạn thường tự sáng tạo ra quy tắc nguyên hàm của một tích thay vì áp dụng công thức tích phân từng phần. Sai lầm này khá nghiêm trọng nhưng chúng lại thường xuyên xảy ra. Để khắc phục, các bạn hãy cố gắng đọc đi đọc lại nhiều lần tính chất của tích phân và nguyên hàm nhé.
3.4. Vận dụng sai công thức nguyên hàm
Vì công thức các nguyên hàm cơ bản rất đa dạng, dạng đề cũng rất phong phú. Thế nên, các bạn trong nhiều trường hợp thường áp dụng sai công thức, thậm chí áp dụng nhầm công thức với nhau.
Do đó, khi học môn Toán nói chung, yếu tố quan trọng nhất là phải tỉ mỉ và cận trọng. Vì trên thực tế, Toán học chỉ cần sai số nhỏ cũng đã khiến kết quả của bạn trở về con số 0, đặc biệt với dạng toán chuyên đề nguyên hàm. Lời khuyên dành cho bạn là hãy học thuộc các nguyên hàm cơ bản và bảng nguyên hàm. Đặc biệt khi tiếp cận với một bài kiểm tra hay một đề thi, hãy nghiên cứu và đọc đề bài thật kỹ, đọc kỹ và xác định đúng dạng đề. Trên cơ sở đó vận dụng chính xác những công thức, hạn chế thấp nhất các sai sót nhé.
Tham khảo: Cách sử dụng máy tính casio fx 570ms
4. Cách ghi nhớ công thức các nguyên hàm cơ bản
Người học thường khó khăn trong việc ghi nhớ công thức các nguyên hàm cơ bản. Vì có quá nhiều công thức nên chúng ta cần có một phương pháp ghi nhớ sao cho đúng. Nhưng trên thực tế, không tồn tại một mẹo vặt nào để ghi nhớ các công thức về nguyên hàm cả.
Do đó, cách hiệu quả nhất để nhớ lâu hơn chính là thường xuyên nghe giảng, chép bài, đặc biệt là tạo thói quen giải bài tập, đề thi. Càng áp dụng các công thức nhiều, bạn sẽ càng ghi nhớ chúng lâu hơn. Tất nhiên, mỗi người học đều sẽ có cách ghi nhớ riêng cho mình khi ôn tập kiểm tra hay làm bài tập, vấn đề thuộc về kỹ năng của mỗi cá nhân. Tựu trung, để giỏi chuyên đề nguyên hàm hay bất kỳ chuyên đề nào khác của Toán học, người học cần phải:
- Hiểu và nắm vững kiến thức trong phạm vi sách giáo khoa.
- Không nhồi nhét bài tập hay công thức quá nhiều.
- Lắng nghe và tập trung trong quá trình nghe giảng.
- Có vấn đề hay những chỗ chưa hiểu cần hỏi lại người giảng dạy.
- Thường xuyên phát triển thói quen tự học để nắm vững chuyên đề nguyên hàm hơn.
5. Lưu ý khi giải toán chuyên đề về nguyên hàm
Như đã nói, không phải cứ áp dụng đúng công thức các nguyên hàm cơ bản trong bảng nguyên hàm thì có thể giải được các đề toán nguyên hàm. Điều này chỉ chính xác khi gặp phải những dạng bài tập, dạng đề thi đúng như công thức nguyên hàm mẫu. Lúc đó, chỉ cần áp dụng chính xác công thức vào bài tập là có thể giải được. Nhưng đó cũng chính là dạng bài tập nguyên hàm đơn giản và dễ giải nhất.
Trên thực tế, các phương trình nguyên hàm có rất nhiều loại được ẩn dưới nhiều phương pháp. Do đó, người học cần sở hữu tư duy logic, thông minh, tỉnh táo thì mới có thể biến đổi chúng về những phương pháp cơ bản đã được học về công thức nguyên hàm. Tất nhiên, quá trình biến đội cũng phải được thực hiện sao cho dễ dàng áp dụng công thức, ngắn gọn và cho ra kết quả chính xác nhất.
Giải một bài toán chậm hay nhanh phụ thuộc rất nhiều vào quy trình bao gồm các bước mà bạn phân tích phương trình nguyên hàm. Các bước đó có tinh giản và ngắn gọn hay không, vận dụng công thức các nguyên hàm cơ bản nào là tối ưu nhất.
Để vượt qua các kỳ thi, cuộc thi, bài kiểm tra Toán quan trọng, đặc biệt là kỳ thi Đại học, bạn phải thường xuyên rèn luyện kỹ năng tổng hợp và phân tích các phương trình một cách thành thạo nhất. Với những chia sẻ trên đây, gia sư topcvai.com hy vọng đã cung cấp công thức các nguyên hàm cơ bản một cách đầy đủ nhất cho bạn. Hãy nỗ lực để nguyên hàm không còn là cơn ác mộng dai dẳng của bạn nữa nhé!








Tham gia bình luận ngay!